已有人观看

昆明理工大学附属小学

[ 作者:昆明理工大学附属小学  发布时间:2025-12-24 09:44 ]






阿承羲+ 7岁+昆理工附小+《驼峰·飞虎·记忆》

《驼峰·飞虎·记忆》阿承羲(7岁)







曾麟惠+7岁+昆理工附小+《赶街天》+郑旭

《赶街天》曾麟惠(7岁)






昆工附小   李青 8岁   《科技海洋》

《科技海洋》李青 (8岁)






   昆理工附小   六4班  杨震东 《醉美云南》

《醉美云南》杨震东  (六年级4班)







昆理工附小  12岁  戴秋语 《梯田》

《梯田》戴秋语(12岁)






昆工附小  孔临老师   《桃花源记》

《桃花源记》孔临老师  






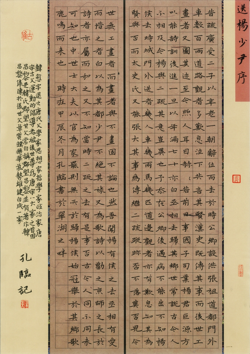
 昆工附小  孔临老师  《送杨少伊序》

《送杨少伊序》孔临老师  






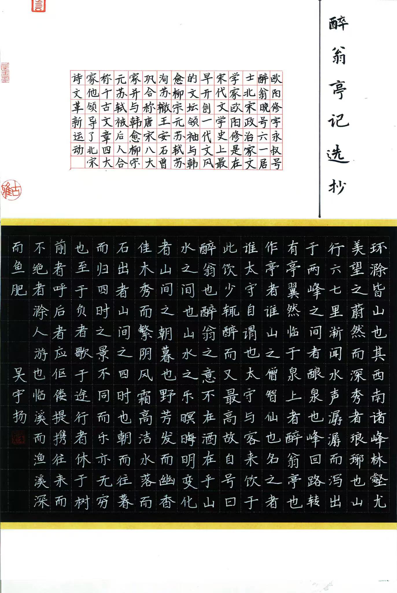
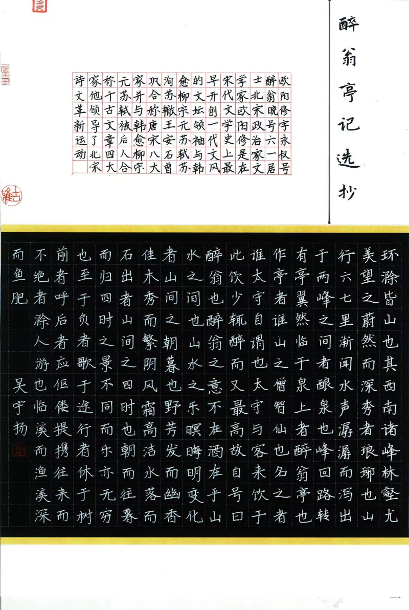
昆工附小  吴宇扬《醉翁亭记选抄》

《醉翁亭记选抄》吴宇扬







昆工附小    伍梓菲《白雪歌送武判官归京》

《白雪歌送武判官归京》伍梓菲