2026年全国硕士研究生招生考试
将于2025年12月20日至21日举行
为营造公平公正考试环境
本次考试考生进入考点考场继续实行
“智能安检门+人工安检”的“双安检”模式
考生不能携带手机等通讯工具
进入考点封闭区域
考试期间
将实施考场监控智能巡查
加大违纪作弊打击力度
为确保广大考生顺利参加考试
云南省招生考试院发布
有关事项提醒
详情如下
↓↓
一、考试准备提醒
(一)提前打印准考证
考生登录“中国研究生招生信息网”自行下载打印《准考证》,认真阅读省招生考试院、报考点、招生单位说明及考试须知。《准考证》应使用A4幅面白纸打印,正、反两面在使用期间不得涂改或书写。
(二)提前打印《考生承诺书》
考生下载《考生承诺书》并打印签字,于首场考试时交予监考员。
(三)提前查询考场座位号
请考生关注“云南省招考频道”官网及微信公众号,2025年12月17日通过上述渠道查询本人考场、座位等考场安排信息。
(四)考前熟悉考点线路
考生可根据《准考证》上的考点信息提前做好交通、食宿、安全等方面准备,建议提前一天熟悉考点所在具体位置及周边环境和路线,密切关注考试当天天气和交通情况,要注意防寒保暖,防滑防冻,合理安排出行时间和出行方式,以保证顺利应考。
二、参加考试提醒
(一)证件材料须知
考生凭纸质《准考证》、有效身份证原件、《考生承诺书》进入考点、考场。《考生承诺书》在首场考试入场时交予监考员。
(二)考试入场须知
本次考试使用身份认证系统核验身份,入场实行“智能安检门+人工安检”的“双安检”模式,考生须在开考前至少提前1小时到达考点,留足进入考点通过安检门、考场人工安检时间。非考试用品不得带入考试封闭区域,建议考生在考试当天不带手机、智能手表、智能手环等违禁物品,不携带钥匙、磁卡、打火机,金属手镯、戒指、项链等物品,不穿戴有金属装饰品的衣服、鞋帽、发卡等,避免反复安检,影响正常入场考试。如确有带入,应服从考点统一管理,交指定地点集中存放,考试结束后方可取回。开考15分钟后,考生不得进入考场参加当科的考试。
考生须配合入场安全检查和身份验证工作,如果携带有规定以外物品,应按规定放置在指定位置;检查过程中若安检设备报警,要自觉向安检员出示相关物品并再次人物分检。身上装有特殊器械(如医疗器械等)的考生须到体检医院开证明(装有心脏起搏器的考生可不参加安检,但必须详细记录考生情况备查)。
(三)携带物品须知
1.考生仅能携带2B铅笔、黑色钢笔、黑色碳素笔或签字笔、直尺、圆规、三角板、无封套橡皮、透明文具袋以及招生单位在准考证招生单位说明中注明的可携带文具,其他物品不准带入考场。
2.严禁携带各种通讯工具(如手机、智能手表手环、智能眼镜和照相、扫描等设备)、电子存储记忆录放设备,包括手表在内的各种计时工具以及计算器、涂改液、修正带、金属制品等物品进入考场。需特别注意的是,考试过程中考生如携带手机等具有发送或者接收信息功能的设备,无论使用与否,均将被认定为考试作弊。
3.考生应注意查看《准考证》上的“报考点说明”和“招生单位说明”。
(四)考场规则须知
1.开考信号发出后,考生方可开始答题;考试结束信号发出后,考生应当立即停止答题。我省硕士研究生考试原则上不允许提前交卷,如因特殊情况需提前交卷的,交卷时间不得早于每科考试结束前30分钟,出场后不得重返考场,应服从考点工作人员统一管理,在考点指定区域休息。
2.考生应根据监考员指令交卷出考场,如不服从监考员管理,未到规定交卷时间擅自离开考场,按《国家教育考试违规处理办法》(教育部令第33号)第五条(六)“未经考试工作人员同意在考试过程中擅自离开考场的,认定为考试违纪行为,取消该科目的考试成绩”,并记入国家《考生诚信考试电子档案》。特别提醒考生不得将试卷、答题卡和草稿纸带出考场,否则将按违规处理。
3.统考科目试卷由监考员统一拆封和发放,答卷(卡)由监考员统一回收。招生单位自命题科目,由考生本人拆封试题袋和密封试题袋,答题纸由考点统一发放;待考试结束后需要考生本人将试题卷和答题纸装入原试卷袋内并密封签字。经监考员逐个核查无误后,方可离开考场。
(五)考试作答须知
考生须认真核对试卷、答题卡及条形码信息,在拿到试卷和答题卡后,第一时间对照准考证,核对试卷、答题卡是否为当场考试科目,核对无误后,按照要求在指定位置正确填涂考生信息。特别提醒考生必须在与题号相对应的答题区域内答题,写在草稿纸或答题卡规定区域以外的答案一律无效,不得在答卷、答题卡上做任何标记。凡因不正确填涂个人信息、不按规定粘贴条形码、未在规定区域作答、答题错位等影响评卷结果的,责任由考生自负。
三、诚信考试提醒
考生应认真阅读《云南省2026年硕士研究生招生考试(初试)考场规则》,遵守考场规则,服从考试工作人员管理。如不遵守相关规定,有违规行为,将根据《国家教育考试违规处理办法》予以处理,记入国家教育考试诚信档案。考试过程中,考生如携带手机等具有发送或接收信息功能的设备,无论使用与否一律视为作弊,将取消所有科目考试成绩,涉嫌犯罪的,将按照《中华人民共和国刑法修正案(九)》《最高人民法院、最高人民检察院关于办理组织考试作弊等刑事案件适用法律若干问题的解释》追究刑事责任。
本次考试将全部在标准化考点进行,全部考场均实行全覆盖、全时段实时智能巡查,对考试过程中、考场实时智能巡查或考后视频智能分析发现的违纪或作弊行为,将按照相关法律法规严肃处理。考试期间,教育、网信、工信、公安、市场监管、无线电管理等部门将联合打击助考犯罪活动,严厉打击违规作弊行为,为考试营造公平、公正的考试环境。请各位考生自觉遵守考试纪律和考场规则,诚信参加考试,自觉抵制作弊,共同维护考试的公平公正。
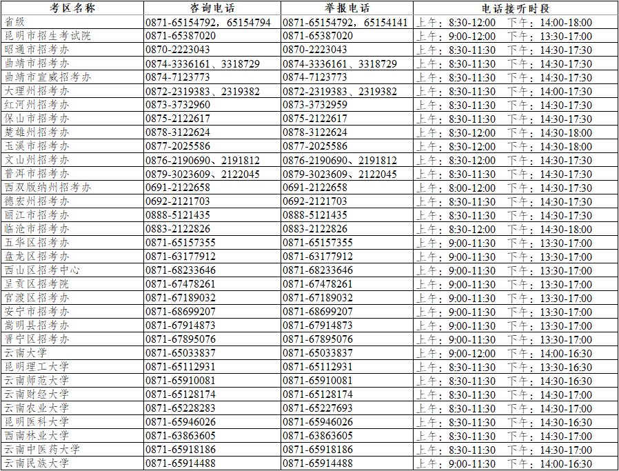
云南省2026年硕士研究生招生考试咨询及举报联系方式(12月15日至21日)

可前往云南省招生考试院网站
下载查看相关附件